一、什么是Pagerank?
PageRank,网页排名,又称网页级别、Google左侧排名或佩奇排名,是一种由根据网页之间相互的超链接计算的技术,而作为网页排名的要素之一,而我们SEO简称为PR,以Google公司创办人拉里·佩奇(Larry Page)之姓来命名。Google用它来体现网页的相关性和重要性,在搜索引擎优化操作中是经常被用来评估网页优化的成效因素之一。Google的创始人拉里·佩奇和谢尔盖·布林于1998年在斯坦福大学发明了这项技术。

PageRank通过网络浩瀚的超链接关系来确定一个页面的等级。Google把从A页面到B页面的链接解释为A页面给B页面投票,Google根据投票来源(甚至来源的来源,即链接到A页面的页面)和投票目标的等级来决定新的等级。简单的说,一个高等级的页面可以使其他低等级页面的等级提升。
二、PageRank算法原理
PageRank的计算充分利用了两个假设:数量假设和质量假设。步骤如下:
1、在初始阶段:网页通过链接关系构建起Web图,每个页面设置相同的PageRank值,通过若干轮的计算,会得到每个页面所获得的最终PageRank值。随着每一轮的计算进行,网页当前的PageRank值会不断得到更新。
2、在一轮中更新页面PageRank得分的计算方法:在一轮更新页面PageRank得分的计算中,每个页面将其当前的PageRank值平均分配到本页面包含的出链上,这样每个链接即获得了相应的权值。而每个页面将所有指向本页面的入链所传入的权值求和,即可得到新的PageRank得分。当每个页面都获得了更新后的PageRank值,就完成了一轮PageRank计算。
三、PageRank简单计算:
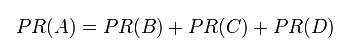
假设一个由只有4个页面组成的集合:A,B,C和D。如果所有页面都链向A,那么A的PR(PageRank)值将是B,C及D的和。

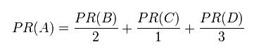
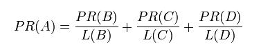
继续假设B也有链接到C,并且D也有链接到包括A的3个页面。一个页面不能投票2次。所以B给每个页面半票。以同样的逻辑,D投出的票只有三分之一算到了A的PageRank上。

换句话说,根据链出总数平分一个页面的PR值。

四、PR现在还有效?
虽然谷歌PageRank已停止更新,但并不意味链接没用,大量的数据显示,高质量的外链对排名非常有好处,而链轮也非常有效果。






































